14. 평행판 전극의 전기력 측정 실험 (Parallel plate capacitor)

◎ 실험 목적
- 두 개의 평행한 금속판을 대전시켜 두 금속판 사이의 전기력을 측정하고 평행판 축전기의 특성을 이해한다.
◎ 전하 (Charge)
º 물체가 가진 전기의 양
º 양전하와 음전하로 구분
º 양전하-음전하 사이엔 인력
º 양전하-양전하, 음전하-음전하 사이에는 척력
◎ 축전기 (Capacitor)
- 절연체를 사이에 둔 두 개의 금속으로 이루어져 전하 혹은 전기에너지를 저장할 수 있는 장치.
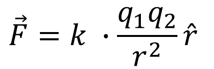
◎ 쿨롱의 법칙 (Coulomb's Law)
- 두 전하 입자 사이에 작용하는 정전기적 인력이 두 전하의 곱에 비례하고,
두 입자 사이의 거리의 제곱에 반비례한다는 법칙



◎ 평면 전하의 전기장







◎ 두 평행판 전극 사이의 전기장
( ※ 평면판 테두리의 복잡한 전기장은 제외했음)




→ 저울
· 무게 = 중력가속도 × 질량
· 저울이 표시하는 무게 = 수직항력의 크기
▶ 저울 위 평행판이 받는 전기력의 세기


▶ 판들 사이의 전기장의 세기


◎ 실험 방법
1. 실험 준비
· 사용할 평행판의 지름을 측정하여 단면적을 계산한다.
· 전자저울의 수평을 맞춘다.
· 아래 전극판과 위 전극판이 서로 수평, 평행하도록 한다.
· 위쪽 판을 아래로 내렸을 때 아래쪽 판과 정확하게 일치, 수평
※ 주의! 모든 준비 과정은 전류전원을 OFF 한 상태에서 할 것!
1. 마이크로미터를 조정하여 두 평행판 사이의 간격을 4mm로 조정
2. 도체 막대를 이용하여 두 전극을 평형상태로 만들어줌
3. 30초 정도 기다려 전자저울의 영점을 맞춤
4. 직류전원 OFF 상태에서
직류전원의 양극(+)을 위쪽 판에 연결
직류전원의 음극(-)을 아래쪽 판에 연결
5. 전압을 서서히 증가시켜 원하는 전압으로 맞춤

'물리 이야기 > 일반대학물리 실험' 카테고리의 다른 글
| 16. RC회로 실험 (0) | 2021.10.05 |
|---|---|
| 15. 옴의 법칙 실험 (Ohm's law) (0) | 2021.10.04 |
| 13. 등전위선 (Equipotential line) 실험 (0) | 2021.08.19 |
| 12. 전하측정 (electric charge measurement) 실험 (0) | 2021.08.17 |
| 11. 줄 위의 파동 (Wave equation of vibrating string) 실험 (0) | 2021.07.09 |