줄 위의 파동 (Wave equation of vibrating string) 실험

◎ 실험 목적
- 줄에 정상파를 만들고 진동수, 줄의 길이, 줄의 밀도, 장력에 따라 줄의 파동에 어떤 변화가 나타나는지 확인하다.
◎ 파동


파동의 진행 방향과 수직 진동하면 횡파 - 파도, 빛 등이 대표적 횡파
트레이닝 방법 중에 배틀 로프라는 방식이 있는데 줄을 위아래로 흔드는 운동이 횡파

파동의 진행 방향과 같은으로 진동하면 종파 - 공기 중의 소리가 대표적 종파


파동을 전달하는 매질이 밀하고 소하고를 반복하게 되는 종파
사람의 성대가 공기를 종파로 진동하고 이 밀, 소한 반복이 고막을 흔들어 소리를 인식하게 된다.
◎ 정상파
- 정상파(定常波) 또는 멈춰있는 파(Standing Wave)는 는 기본 진동의 파동이다.
공간 내에서 임의의 방향으로 진행하는 파동인 진행파(progressive wave)와 대비되는 개념
진동의 마디(Node)나 배(Antinode)의 위치가 공간적으로 이동하지 않는 파동이다.

전체 줄의 길이는 L 로 모두 같지만 진동에 따라 파장의 변화가 생긴다.
-파장의 길이 등을 조율하여 다양한 음을 만드는 현악기

정상파는 양 끝단이 마디(node)로 묶여 있다고 볼 수 있지만 열린 관에서도 정상파가 생성이 된다.
이런 경우 양 끝단이 배(Antinode)로 열려 있다.

- 관의 길이를 조정하여 다양한 음을 만드는 관악기

◎ 고정단 반사, 자유단 반사
- 진동이 진행되다 다른 부분에 부딪혀 반사가 될 때 두 가지로 나뉘게 되는데
이때 고정단과 자유단으로 나누어 볼 수 있다.

고정 단과 자유단은 반사 시 파동이 바뀌고 안 바뀌고 차이가 생긴다.
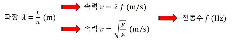
◎ 파동의 속력


◎ 실험장치

사인파 발생기, 줄 진동기, 종류가 다른 줄, 도르래와 지지대, 추와 추 걸이, 줄자
*사인파 발생기 각부 조정단

◎ 실험방법
1. 줄의 질량과 길이를 측정한다
- 주위! 선밀도 측정을 위해 줄 전체 질량과 전체 길이를 측정

2. 사진과 같이 줄 진동기에 줄을 묶고 추와 추걸이를 설치
3. 예상되는 정상파의 진동수를 계산 (사인파 발생기의 출력을 조정)

4. 진동수를 바꾸어 가며 마디(node)를 0,1,2,3 바꾸어 가며 측정


줄 길이와 마디수를 고정하고 추의 질량을 바꾸어 가며 실험해 본다.

f^2-m 그래프를 그리고 기울기를 통해 선밀도를 계산 무게 측정으로 구한 선밀도와 비교해 본다.

'물리 이야기 > 일반대학물리 실험' 카테고리의 다른 글
| 13. 등전위선 (Equipotential line) 실험 (0) | 2021.08.19 |
|---|---|
| 12. 전하측정 (electric charge measurement) 실험 (0) | 2021.08.17 |
| 10. 조화진동(Harmonic oscillation) 실험 (0) | 2021.06.18 |
| 09. 관성 모멘트 실험 (Moment of inertia) (0) | 2021.06.11 |
| 08. 선 운동량 보존 실험 (이차원 충돌 실험) (0) | 2021.06.04 |