선 운동량 보존 실험 (이차원 충돌 실험)

◎ 실험 목적
- 두 물체가 충돌할 때 충돌 전후에 운동량이 보존되는지를 관찰하고 확인한다
◎ 운동량 (momentum)
- 물체의 질량과 속도의 곱인 벡터량 [단위 kg·m/s , N·s]
운동량을 p, 질량을 m, 속도를 v라고 하면,

현대에는 운동량을 momentum으로 사용하지만 뉴턴의 시대에는 pimentum으로 사용되었다
그래서 기호로 p를 사용한다.
선 운동량, 각 운동량 등이 있다.
⊙ 운동량과 힘의 관계
- 뉴턴의 운동 제 2법칙 : 운동의 변화는 가해진 힘에 비례하며 힘이 가해진 직선 방향으로 일어난다.

시간에 따라 속도가 변하는 물체의 운동 이외에도 질량이 변하는 물체의 운동에 적용하여 물체의
운동 변화를 알 수 있다.
◎ 운동량 보존 법칙 (law of momentum conservation /momentum conservation law)
- 운동량이 외력을 받지 않는 계 내부에서는 변하지 않고 보존된다


- 운동량 보존 법칙은 2개 이상의 물체들로 이루어진 물체계에서 성립.
- 운동량 보존 법칙은 두 물체가 충동할 때 한 물체로 합쳐지는 융합, 한 물체가 2개 이상의 물체로 나누어지는 분열에도 성립.
- 물체 사이에서만 힘이 작용하는 경우 항상 작용 반작용 법칙이 성립.
- 외력이 작요하면 물체계의 전체 운동량은 변함.

※ 주의: 운동에너지 보존 여부에 관계없이,, 외부 알짜힘이 없으면 어떤 경우에도 선 운동량은 보존된다
운동에너지는 충돌 시 빛, 열, 소리 등의 다른 에너지로 변환되어 손실이 발생할 수 있다.

◎ 충격량 (Impulse)
- 물체에 작용한 힘에 힘이 작용한 시간을 곱한 물리량 [단위: N·s]


운동량의 변화량이 충격량이기 때문에 단위가 같게 된다.
⊙ 충격력 : 충돌하는 물체가 받은 충격량을 충돌 시간으로 나눈 평균 힘

힘-시간 그래프에서 면적은 충격량을 의미한다.
같은 충격량이 라면 시간이 오래 걸리는 운동이 충격력이 적어진다.
ex) 달걀을 같은 높이에서 바닥과 방성에 떨어뜨리자.
딱딱한 바닥은 시간이 짧아서 충격력이 크고 방석은 시간이 길어져서 충격력이 작다.
그래서 바닥에선 깨진고 방석에선 안 깨진다.
에어백, 뽁뽁이, 글러브 등이 이렇게 충격 시간을 길게 하여 충격력을 낮추는 충격 완화 장치가 된다.
◎ 2차원 탄성 충돌

정지한 물체(m2)에 일정한 속도로 움직이는 물체(m1)의 충돌을 보자면
M1의 운동방향을 X축으로 잡고 X, Y 2차원 충돌 운동을 볼 수 있다.

운동량 보존 법칙에 따라 충돌 전과 충돌 후의 운동량은 같아야 한다.
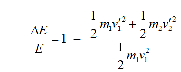
에너지 보존 (운동에너지 E=1/2 m v^2 ))

이때 에너지 손실률을 계산하여 충돌의 종류를 확인할 수 있다.

일반적으로 충돌이 일어날 때는 열, 소리, 빛 등의 에너지 손실이 발생한다.
◎ 선 운동량 보존 실험 (이차원 충돌 실험)

충돌 장치의 곡면을 굴러 내려오는 입사구가 충돌 장치의 끝에 놓인 표적구를 살짝 벗어난 각도로 충돌한 후
두 구가 자유 낙하하여 바닥에 놓인 먹지 위에 떨어지게 한다.
바닥에 찍힌 두 점을 관찰하여, 충돌 후에 두 쇠구슬의 속도를 측정할 수 있다.
(주의! 입사 구와 표적구는 최대한 얇게 충돌해야 오차가 적다!)
- 입사구와 표적구의 질량을 측정한다.
- 수직기를 활용하여 충돌지점을 바닥의 전지에 기준점 P1으로 표시한다.
- 아무 충돌 없이 입사구를 굴려 바닥에 떨어진 점을 찍고 P1과 이어서 기준선(L1)을 그어준다.
- 표적구를 입사 구와 최대한 얇게 충돌하게 자리를 잡고 표적구의 밑을 전지에 P2로 점을 찍어 준다.
- 기준선 L1와 평행한 표적구의 기준선 L2를 그어 준다.
(L2는 벌어진 각도 계산을 위해 사용되므로 길이는 중요하지 않다.
- 입사구를 굴려 표적구와 충돌 후 바닥에 떨어진 점 Q1, Q2를 표시한다.
- 각각 기준점으로부터 거리와 기준선으로부터의 각도를 측정한다.
- 5회 정도 반복하여 평균값을 사용한다.

충돌 후 바닥까지 도달 시간 계산.



운동량과 2차원으로 나뉜 방향의 운동량을 계산할 수 있다.

에너지 손실률도 계산을 해 보자.
'물리 이야기 > 일반대학물리 실험' 카테고리의 다른 글
| 10. 조화진동(Harmonic oscillation) 실험 (0) | 2021.06.18 |
|---|---|
| 09. 관성 모멘트 실험 (Moment of inertia) (0) | 2021.06.11 |
| 07. 역학적 에너지 보존 실험 (0) | 2021.05.24 |
| 06. 마찰계수 실험 (0) | 2021.05.12 |
| 05. 힘의 평형 (equilibrium of force) (1) | 2021.05.09 |