728x90
반응형
조화 진동(Harmonic oscillation) 실험

◎ 실험 목적
- 용수철에 매달린 물체의 운동을 측정하고 분석하여 자유로운 조화진동의 기초적인 물리 내용을 이해한다

◎ 복원력(restoring force)
- 평형을 이루고 있는 계에서 외부로부터의 힘이 작용하여 평행 상태가 깨어졌을 때 다시 평형상태로 되돌아가려는 방향으로 작용하는 힘 [예) 스프링을 늘리거나 줄일 때 원래 상태로 돌아가려는 힘.]

용수철은 변화된 길이에 비례하게 복원력을 만들어 준다.
가해준 힘과 돌아가려는 방향은 항상 반대로 운동방향을 의미하는 - 부호가 붙는다.


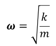
◎ 조화진동 (Harmonic oscillation)
- 진동 중에서 가장 단순하며 기본적인 형태를 가지는 진동,
변위에 비례하는 복원력에 의한 진동, 변위가 시간에 대해 sine이나 cosine함수로 표현되는 진동.


용수철의 운동을 원운동으로 볼 수 있다.


원운동 하는 물체의 그림자를 따라 그리는데 그리는 축을 시간으로 이동하게 되면 sin, cos그래프 모양이 된다.




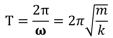
주기(T): 어떤 운동이 왕복되는데 걸리는 시간
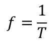
진동수(f) : 단위 시간에 일어나는 진동 횟수


◎ 실험장치
•운동 센서(motion sensor), 용수철, 받침대와 지지대, 줄자, 질량 세트, 사이언스워크샵 인터페이스

◎ 실험방법
- 추 걸이 질량과 용수철 질량을 잰다.
- 추 걸이, 추의 질량을 늘려가면서 늘어난 용수철 길이를 잰다. (k를 얻고 T(이론)을 구할 수 있다.)
- 질량을 늘려가는 순서대로 진동을 시켜서 속도-시간, 거리-시간 그래프를 얻는다.
- 얻은 위치-시간 그래프에서부터 주기를 구한다.(5번 하고 평균값) (그래프로부터 T(실험)을 구할 수 있다.)


표에 데이터를 정리하여 공식과 비교를 한다.
반응형
'물리 이야기 > 일반대학물리 실험' 카테고리의 다른 글
| 12. 전하측정 (electric charge measurement) 실험 (0) | 2021.08.17 |
|---|---|
| 11. 줄 위의 파동 (Wave equation of vibrating string) 실험 (0) | 2021.07.09 |
| 09. 관성 모멘트 실험 (Moment of inertia) (0) | 2021.06.11 |
| 08. 선 운동량 보존 실험 (이차원 충돌 실험) (0) | 2021.06.04 |
| 07. 역학적 에너지 보존 실험 (0) | 2021.05.24 |