힘의 평형 (equilibrium of force)
⊙ 실험 목적
1. 힘의 합성대를 이용하여 여러 힘들이 평형이 되는 조건을 확인함으로써 힘의 평형을 이해한다.
2. 작도 법과 해석법을 이용하여 분석을 한다.
⊙ 힘(force)
물리학에서 힘(force)이란, 물체의 방향, 운동, 구조 등을 변화시킬 수 있는 상호 작용을 뜻한다.|
힘은 질량을 가진 물체의 속도를 변화 시는 요인이다.
예를 들면 멈추어 있는 물체를 움직이거나 반대로 움직이는 물체를 멈추게 한다.
힘은 크기와 방향을 모두 가졌기 때문에 벡터량으로 표현한다.
기호로 F, 단위는 N(뉴턴)을 사용한다.
⊙ 벡터 (vector)
크기와 방향을 가지고 있는 양, 크기와 방향을 모두 표현할 수 있는 화살표로 표현

Ex) 힘, 속도
자동차가 북쪽[방향]으로 시속 30km[크기]의 속도이 이동했다.
방향이 없고 크기만 가지고 있다면 스칼라(scalar)라고 한다.
⊙ 스칼라(scalar)
- 방향을 가지고 있지 않고 크기만 가지고 있는 물리량
물리량의 크기를 나타낸 수에 단위를 붙여 그대로 사용한다.
Ex) 질량, 온도, 에너지
실험실의 온도는 24℃[크기]이다.
온도가 24도로 북쪽으로 흐르고 있다 이런 표현을 쓰진 않는다.
⊙ 힘의 평형
뉴턴 운동법칙의 제2법칙
“운동의 변화는 가해진 힘에 비례하며 힘이 가해진 직선 방향으로 일어난다”

물체의 알짜 힘이 미분 시간과 운동량의 변화의 곱과 같다.
물체의 질량이 일정할 경우 제2 법칙은
물체에 작용하는 알짜 힘은 알짜 힘의 방향에 작용하는 가속도에 비례하고 물체의 질량에 비례한다는 의미이다.
힘의 공식으로 다음과 같이 표현한다.

g= 중력가속도 (9.81 m/s2)
단위로는

⊙ 물체의 평형 상태
물체가 정지 상태에 있거나 등속도로 움직이는 상태를 평형상태라고 한다.
물체의 평형 상태는 2가지로 구분되어진다.
● 평형 제1조 건
- 선형적인 형형 상태 (정지 or 등속 직선운동)

뉴튼의 제1법칙 - 외부에서 알짜 힘이 작용하지 않으면,
정지해 있던 물체는 계속 정지해 있고, 움직이던 물체는 계속 등속 직선 운동을 한다.

용수철이 진동을 하다 힘의 평형을 이루면 정지를 한다.
정지를 하면 중력과 탄성력이 크기가 같고 방향이 정반대로 두 힘의 합력이 0이 된다.

우주의 유영이나 물 방울이 떠 있는 것을 볼 수 있다.
이 역시 처음의 운동을 시작하고 속도의 변화 없이 유지를 한다면 힘의 평형이다.
움직이던 물방울은 계속 등속 직선 운동을 한다.
간혹 움직이는 물체는 힘의 평형을 못 이룬다고 오해를 할 수 있다.
등속, 즉 같은 속도와 방향이 변하지 않고 유지되는 운동은 힘의 평형을 이룬 것이다.
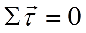
● 평형 제2조 건
- 회전적인 평형 상태 (정지 or 등속 회전)

※ Torque (돌림힘)
물체를 회전시키는 효력을 나타내는 물리량, 힘과 작용점까지의 거리의 곱이다.
기호는 그리스 문자 τ (타우)를 사용


한 자리에서 멈추지 않고 일정한 속도로 돌고 있는 팽이가 있다면 평형 제2조 건을 만족한다.
힘의 평형 조건 2가지를 알았으니 작도 법과 해석법으로 확인을 해보자.
⊙ 작도법
- 벡터의 크기: 화살표의 길이 평행 사변 형법으로 확인한다.

벡터 A, B 두 힘을 합친다면 작도 법으로는

벡터 B의 시작점을 벡터 A의 끝 위치로 평행 이동하여
평형 사변형을 만들고 사변형의 대각선이 벡터 R, 벡터 A, B 두 합 벡터가 된다.

⊙ 해석법
벡터 A, B 두 힘을 합친다면

빗변을 벡터 R로 가지는 직각 삼각형을 그릴 수 있다.

벡터 R의 크기는 Cosine 제2법칙에 의해

벡터 R의 방향 Ф는

이제 A, B, C 3개의 힘을 평형시킨다면


벡터 A, B의 합 벡터 R이 벡터 C와 크기가 같고 방향이 정 반대이면 힘의 평형을 이룰 수 있다.
⊙ 힘의 합성대

3개의 방향에 추를 매달아서 3개의 힘의 합성을 확인하는 실험대

실험 방법
1. A, B, C 세 곳에 추를 매단다.
2. A의 '위치'를 고정시키고 B와 C를 이동시킨다.
3. 가운데 링이 정가운데에 위치할 때의 B, C 위치를 기록한다.
4. A, B, C의 크기는 매달린 추의 무게와 중력가속도를 곱한 값

5. 벡터 A, B의 합 벡터 R의 크기와 방향은 다음 식을 이용하면 된다.


6. 합 벡터 R과 벡터 C를 비교한다.
7. 벡터 R과 C의 크기가 방향의 오차를 구한다.
(크기는 같아야 하고 방향은 180도 차이여야 힘의 평형이다.)
'물리 이야기 > 일반대학물리 실험' 카테고리의 다른 글
| 07. 역학적 에너지 보존 실험 (0) | 2021.05.24 |
|---|---|
| 06. 마찰계수 실험 (0) | 2021.05.12 |
| 04 구심력 (Centripetal force) (0) | 2021.05.02 |
| 03 포물선운동(포사체 실험) [Projectile experiment] (0) | 2021.04.27 |
| 02 자유낙하 (free fall) (0) | 2021.04.21 |