본문 바로가기
물리 이야기/일반대학물리 실험

02 자유낙하 (free fall)

by 베르나르 단테 2021. 4. 21.
728x90
반응형

자유 낙하 실험 (free fall experiment)

 실험 목적

    - 지구 표면에서 자유 낙하하는 물체의 가속도를 측정.

물체의 가속도가 중력가속도와 일치하는가 ?

⊙ 자유낙하

- 어떠한 물체가 힘을 만유인력 받아 일정한 가속도로 운동하는 상태 의미한다.
  공기 중에서, 저항을 무시하면, 자유 낙하하는 물체는 가속도가 일정한 운동을 한다.  (등가 속 운동)등가속운동)
  낙하를 시작하여 시간(t) 만큼 지날 때, 물체의 속력은 시간에 비례한다.
  비례 상수는 중력가속도(g)로서 크기는 9.81 m/s^2이다.

  통상적으로 자유낙하 운동은 지표 부근에서 오직 중력만을 받으며 낙하하는 운동을 말한다
  완벽한 자유낙하는 다른 외력이 전혀 존재해서는 안되지만
  현실에서는 공기저항, 지구의 자전에 의한 관성력 등 다른 힘을 받게 된다.

⊙ 만유인력의 법칙

  -1687년 뉴턴이 발표,  질량을 가진 물체 사이에 서로 끌리는 것을 기술한 물리학 법칙.
   두 물체가 있다면 이 물체는 항상 서로 당기는 힘이 생기고 중력은 지구와 물체 사이의 만유인력이다.
   뉴턴은 만유인력의 법칙을 운동 제2법칙에 넣어 행성의 가속도를 구할  있었고   
   이를 통해 행서의 궤도가 타원형임을 증명하기도 했다.

만유인력의 법칙

기호 의미
F 두 점 질량 간의 중력의 크기
G 중력상수 (6.673x10-11Nm^2/kg^2)
m 첫 번째 점질량의 질량
M 두 번째 점질량의 질량
r 두 점 질량 간 거리

※ 자유 낙하 실험에서는 만유인력 법칙에서 M을 지구의 질량, r을 지구의 반지름으로 놓고 계산을 하여 얻는다.

위의 공식에서 보듯이 자유낙하는 질량에 상관없이 중력가속도 g로 모든 물체에 동일하게 작용이 된다.

그래서 진공의 상태에서 질량이 다른 물체를 자유 낙하시키면 같은 등속 운동을 하게 된다.

진공에서 자유 낙하

youtu.be/LYQ6-TJQsLc

자유낙하 실험 영상

⊙ 지구 표면의 중력

   지구 표면에서의 중력은 위도마다 조금씩 차이가 발생하는데 이는 지구 자전에 의한 원심력 영향이 크다.   
   (지구의 전향력)

지구 자전과 중력의 상관관계

만유인력은 지구의 중심 방향으로 생기지만 원심력은 회전축의 바깥 방향으로 생기고
만유인력과 원심력의 합이 그 위도에서의 중력이 된다.
실제 측정을 해보면 북극: 9.832m/s^2, 서울: 9.799m/s^2, 적도: 9.780m/s^2로 위치에 따른 차이가 관측된다.

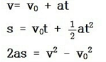
⊙ 자유 낙하에서 속도와 변위

등가속도 직선운동은 다음 속도 공식을 따른다.

속도공식

정지하던 물체가 자유 낙하를 시작한다면.
초기 속도 V0 0으로 가속도 a는 중력가속도 g를 대입

를 얻을 수 있다.

 시간-속도 그래프에서 기울기는 중력가속도를 의미하게 된다. (그래프의 기울기 g로 일정)
 시간-거리 그래프에서는 시간의 t^2에 비례함을 알 수 있다.

⊙ 실험  기구

 

자유낙하 실험 장비

- 피켓 펜스를 포토 게이트 사이로 떨어 뜨리고 그때의 시간을 구해 계산한다.

  피켓 펜스의 일정한 간격과 각 간격의 떨어지는 시간을 알면 속도를 구하고 속도의 변화량으로 가속도를 구할 수 있다.

◇ 포토 게이트 (photogate)

포토 게이트

게이트의 중간을 물체가 지나가면 검출기의 신호가 끊기고 이 시간을 측정해 준다.

포토 게이트 구조

  피켓 펜스 (Picket fence)

 일정한 간격으로 검은 차단 막이 그려진 막대

피켓 펜스

 

 

반응형