포물선 운동 / 포사체 실험 (Projectile experiment)
⊙ 실험 목적
포사체 운동 실험의 목적은 발사 각도에 따라 공이 이동한 거리의 변화를 알아보는 것이다.
발사 지점과 도착 지점의 높이가 같은 경우, 다른 경우에 대하여 실험한다.
- 자유 낙하 실험에서 중력과 중력가속도에 대하여 학습하였다.
이제 밑으로 일직선(1차원 운동)으로 운동하는 자유 낙하가 아닌
대각선 방향(2차원 운동)으로 던지는 포물선 운동을 시키고 이를 공식과 실험으로 알아보자.
⊙벡터의 분리
벡터 A를 직교 좌표 (x, y축)으로 나누어 보자.

⊙ 포물선 운동
– 포사체가 운동 방향과 다른 방향으로 힘을 받을 때의 운동

포사체를 던져질 때 포사체의 속도와 수평면과 이루는 각도를 알면 물체의 운동을 예측하기 쉽다.
[포사체는 공기의 저항을 받지 않고 중력은 일정한 크기로 연직 아래 방향으로 받고 있다고 가정]

중력 가속도(g), 초기의 속도(V0), 수평면과 이루는 각도(θ) 라고 하면
벡터의 분리와 같이 적용할 수 있다.
1. 발사 지점과 도착 지점의 높이가 같은 경우
x축: x방향으로는 공기의 저항이 없기 때문에 가속도가 없는 “등속 운동”을 하게 된다.

t초 후의 x축 이동 방향은 x(t)는 위와 같이 구할 수 있다.
y축: y방향의 운동은 지표면 방향으로 중력 가속도 g가 작용하는 연직 상방 등가속도 운동이다.
(위로 던진 것과 방향이 다르기 때문에 -g)

최고점에서 공이 정지하고 다시 지표면을 향해 떨어질 것이다.
(= 속도가 0이 되는 시간이 최고점 도달 시간이 된다.)
최고점까지 올라간 시간의 2배가 되는 시간이 다시 지표면에 도착한 시간 (총 운동시간)이 된다.

y축의 운동을 통해 물체의 이동시간 T를 구하고 이 T를 x축의 운동에서 구한 이동거리 식에 대입


수평 도달 거리(R)을 구할 수 있다.
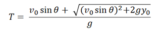
2. 발사 지점과 도착 지점의 높이가 다른 경우

x축: 높이가 같은 실험과 조건이 같다. 가속도가 없는 “등속 운동”

y축: 높이가 같은 실험과 조건이 y0 만큼 바뀌었다. 중력가속도가 있는 “등가속도 운동”

이 식에 대입하되 y0만큼 더해 주어야 한다.

위의 식을 t에 대한2차식으로 근의 공식을 이용하면

총 운동 시간 T를 구할 수 있다.
총 운동시간 T를 x의 이동 거리 식에 대입하면

총 이동 거리 R은 다음과 같이 구할 수 있다.

⊙ 실험 방법
1. 실험 기구


2. 실험 순서
- 발사기를 테이블에 C형 클램프(clamp)(=죔 틀)로 고정을 시킨다.
- 랩 잭의 높이들 발사대의 높이와 같게(또는 다르게) 조절한다.
- 발사기의 쇠 공을 발사하고 도착지점의 거리를 측정한다.
- 도착지점의 거리와 공식으로 구한 거리를 비교한다.
'물리 이야기 > 일반대학물리 실험' 카테고리의 다른 글
| 06. 마찰계수 실험 (0) | 2021.05.12 |
|---|---|
| 05. 힘의 평형 (equilibrium of force) (1) | 2021.05.09 |
| 04 구심력 (Centripetal force) (0) | 2021.05.02 |
| 02 자유낙하 (free fall) (0) | 2021.04.21 |
| 01. 길이측정 (0) | 2021.04.19 |